
Le système étudié est constitué d’une masse m et du champ gravitationnel produit par la terre.

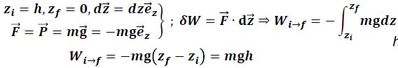
Travail des forces de pesanteur :

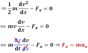
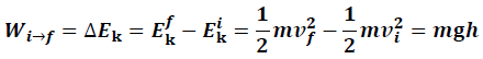
D’après le théorème de l’énergie cinétique :

Ou encore :

Lors d’une chute libre, Le corps, initialement sans énergie cinétique, a acquis sans interaction extérieure une énergie cinétique égale à la valeur Ek = mgh.
Ce résultat suggère qu’à la hauteur ℎ le corps possédait initialement une énergie capable de produire un travail lui permettant d’acquérir de l’énergie cinétique. Cette énergie est appelée énergie potentielle et notée Ep.
L’énergie potentielle d’une masse ? située à une hauteur h par rapport à la surface de la terre est :
Ep = mgh

Que devient l’énergie potentielle lorsque l’on soulève la masse m, initialement au repos à la surface de la terre, à une hauteur h ?

Travail de la force appliquée :

Le travail fourni, par la force appliquée, sur le corps, lui confère une énergie potentielle Ep = mgh égale à ce qu’il avait avant sa chute.
Remarques
Le travail produit par la gravité lors de la chute du corps est égal au travail de la force appliquée pour soulever le corps jusqu’à sa position initiale :

Dans le cas de la force extérieure appliquée au système corps-Terre, le travail ne produit que de l’énergie potentielle :

Dans le cas de la chute sous l’effet de la force de pesanteur interne au système l’énergie potentielle est dépensée au profit de l’énergie cinétique :

Considérant la force de pesanteur, interne au système, on peut écrire :

La force qui a accéléré le corps durant sa chute dérive de l’énergie potentielle que possédait le corps à sa position initiale.
Dans le cas de la chute libre, on peut écrire la relation :

« Analogie de la carte des vents dans le couloir de la Manche »

Les différences de pression entre deux points provoquent le déplacement des molécules d’air (représenté par les flèches) entre ces points.
D’après la seconde loi de Newton, l’accélération des molécules d’air est due à une force.
On peut dire qu’un champ de forces (vectorielles) qui agit sur les molécules de l’atmosphère dérive du « champ (scalaire) de pression » régnant sur Terre.
On dit qu’une force dérive d’une énergie potentielle si il existe une fonction scalaire Ep telle que :

Comment savoir si une force dérive d’une énergie potentielle ?
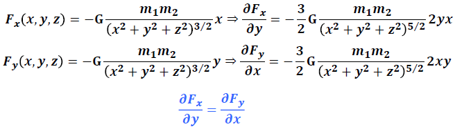
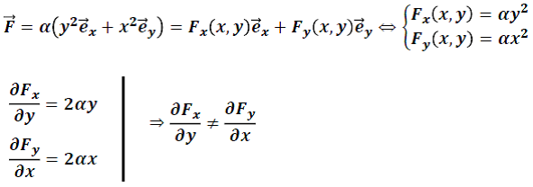
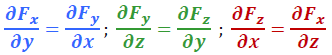
| Première méthode | Si on a un champ de force : Pour que cette force dérive d’une fonction scalaire U(x, y, z), il faut et il suffit que les 3 égalités (dérivées croisées) suivantes soient simultanément satisfaites : ![]() Exemple Revenons à notre force : ![]() => La force F ne dérive pas d’une énergie potentielle ! |
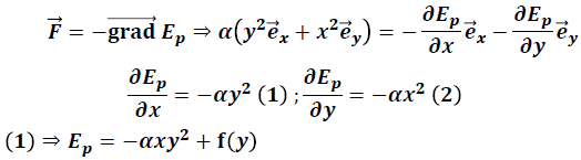
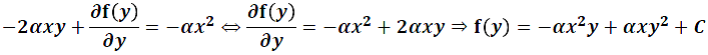
| Deuxième méthode | Pour montrer que la force : dérive d’un potentiel, il faut trouver une fonction scalaire G(x, y, z) tel que les dérivées partielles suivantes soient définies : ![]() Exemple Essayons quand même avec la fonction : ![]() En remplaçant dans (2) : ![]() La fonction f(y) dépend de la variable x ! Il n’existe donc pas de solution à l’équation du gradient. => La force F ne dérive décidément pas d’une énergie potentielle ! |

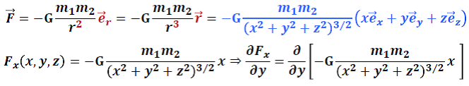
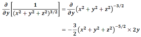
Comme :

Alors :

Il est trivial de se convaincre par des considérations de symétrie (x, y et z « jouent » le même rôle) que les deux autres égalités sont satisfaites.
=> La force gravitationnelle dérive d’une énergie potentielle !
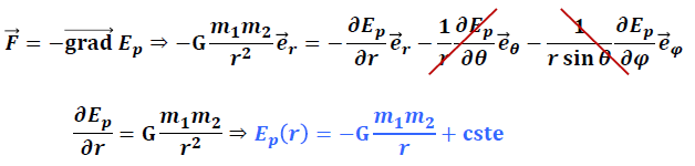
Déterminons l’expression de l’énergie potentielle gravitationnelle :

On prendra en général Ep(ꚙ) = 0 donc cste = 0.

Attention : ce n’est pas systématique !
Remarque



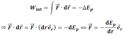
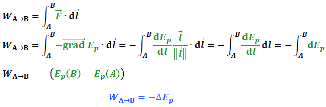
Soit une force dérivant d’une énergie potentielle Ep :

Ce travail ne dépend pas du chemin suivi pour aller de A à B !
Une force dérivant d’une énergie potentielle est conservative (et réciproquement).
Dans un référentiel galiléen, appliquons le théorème de l’énergie cinétique (en vert) à des forces conservatives (en bleu) :

soit :

ou encore :

où
et
sont fixés par les conditions initiales.
La somme suivante qui se conserve au cours du mouvement, est l’énergie mécanique ou énergie propre de la particule dans le champ de force :

Chute libre

Revenons à notre chute libre d’un corps de masse ? mais n’attendons pas que celui-ci touche le sol :

Travail des forces de pesanteur :

D’après le théorème de l’énergie cinétique :

Ou encore :

Remarque
Pour un système de particules dont les interactions ne dépendent pas explicitement du temps, l’énergie totale du système est constante :
dEm = d(Ek + Ep) = 0
La fonction énergie ne dépend que de la vitesse et de la position.
Cette loi de conservation doit amener à une expression de l’énergie qui soit compatible avec les lois de Newton.
Dérivons la fonction énergie par rapport à la position (réduite à x) :

Avec :

Ainsi (1) et (2) :

Avec cette expression de l’énergie cinétique, la conservation de l’énergie totale est compatible avec les lois de Newton.
À une position d’équilibre, la somme des forces appliquées à un système doit être nulle.

Si toutes les forces sont conservatives, à l’équilibre :

ou encore :

À l’équilibre, l’énergie potentielle est extremum.


Le vecteur gradient est dans le même sens que le déplacement.

La force s’oppose au déplacement.
=> équilibre stable
![]() | ![]() |
Rappels
![]() | ![]() |
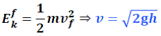
| Les lois de Newton nous ont permis de déterminer l’expression de la vitesse d’arrivée au sol d’une masse m soumise à la force de pesanteur : ![]() | Elles ont également permis de déterminer la fréquence de balancement du pendule :![]() |
Retrouvons ces résultats à partir des lois de conservation.
Considérons un corps de masse m, initialement à la hauteur z = h, qui tombe sous les effets de la gravité. Déterminons l’expression de sa vitesse d’arrivée au sol en nous servant des théorèmes des énergies :



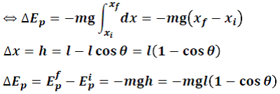
Considérons un pendule et déterminons la pulsation ω naturelle d’oscillation du pendule en nous servant des théorèmes des énergies :


En prenant :

En utilisant le développement limité de cos θ autour de 0 : voir Rappels et Compléments de Mathématiques sur « l’approximation d’une fonction au voisinage d’un point ».


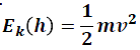
La vitesse en coordonnées cylindriques :

Dans le cas présent : ρ = l = cste, z = cste et ϕ = θ.
Ainsi :

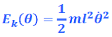
L’énergie cinétique en fonction de θ prend la forme :


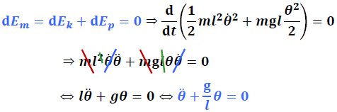
La force de pesanteur étant conservative.

C’est l’équation d’un oscillateur harmonique :
de pulsation 
Remarque
Vous venez de voir différentes approches d’un problème : lois fondamentales de la dynamique et lois de conservation.
Ces lois de conservation constituent un outil puissant pour résoudre des problèmes physiques.
Tout comme la RFD dont vous avez noté le lien entre la dynamique et l’espace-temps, les lois de conservation sont le reflet de symétries d’espace-temps ou témoignent de l’existence d’autres symétries.