La définition du système physique considéré est essentielle dans l’application des lois et la définition des forces externes ou internes appliquées au système.
Un système isolé ne fait intervenir que des forces internes.
Dans le cas contraire, il faudra distinguer les forces internes des forces externes au système que l’on veut étudier.
On considère une particule de masse m libre de toute interaction extérieure.
D’après la première loi de Newton, cette particule est animée d’un mouvement rectiligne uniforme v0 que l’on prendra selon l’axe x d’un référentiel galiléen.

A l’instant t0 = 0 s, on applique une force
d’intensité et de direction constante ; direction que l’on prendra également selon l’axe x. A t ≥ t0, le mouvement de la particule est décrit par la deuxième loi de Newton :

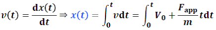
A l’instant t :

Remarque : voir Rappels et Compléments de Mathématiques sur « l’intégration » – fonction du type « a »

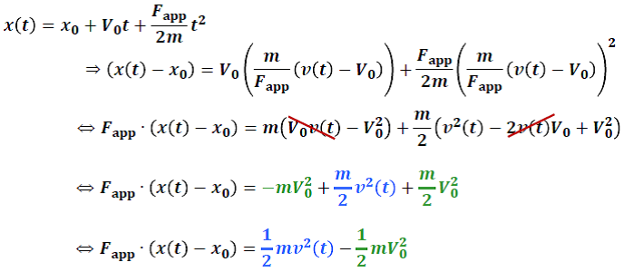
Si x0 est la position initiale, la position de la particule au temps t est :

Remarque : voir Rappels et Compléments de Mathématiques sur « l’intégration » – fonction du type « axn »


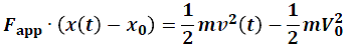
En remplaçant t dans l’expression de x(t) :


Le terme de gauche représente le travail d’une force appliquée (noté δW ou Wx0→x) sur une particule lors d’un déplacement Δx = x(t) – x0.
δW = Wx0→x = Fapp∙Δx
La partie de droite définit une énergie de mouvement (appelée énergie cinétique et notée Ek) de la particule.

La variation de l’énergie de mouvement de la particule est due à la force appliquée à la particule lors du déplacement Δx.
L’expression du travail ne présume pas du chemin suivi.
L’exemple précédent présentait le travail d’une force constante sur un trajet rectiligne.
Pour un déplacement non rectiligne, on décompose le mouvement en une somme de déplacements infinitésimaux :

Ce travail est indépendant du chemin (C) suivi !
Pour un déplacement non rectiligne et une force qui évolue au cours du déplacement :

Exemple : considérons une force variable de la forme :



Le travail de la force de gravitation dépend t-il du trajet suivi ?


Il est trivial de considérer qu’il en est de même sur OBC. Donc :

Une force est dite conservative si le travail de cette force lors d’un déplacement de A à B est indépendant du chemin suivi pour aller de A vers B.

Nous avons déjà constaté qu’une force constante est conservative comme par exemple la force de pesanteur :

Les forces fondamentales sont conservatives.
Remarque :
Considérons le travail d’une force conservative
agissant sur une particule au cours d’un trajet de A vers B. Les propriétés des vecteurs permettent d’écrire :

Ainsi pour une force conservative :

Si une particule parcours un chemin fermé sous l’action d’une force conservative, le travail produit par cette force est nul.
Exemple :
Le système solaire est âgé de 4 milliards d’années. Ainsi, la terre a fait 4 milliards de fois le tour du soleil pour revenir au même point dans le référentiel héliocentrique.
Les observations géologiques ne montrent pas de changement significatif de la température à la surface de la Terre sur cette période et donc la distance Terre – Soleil a été sensiblement constante.
On en déduit expérimentalement que la force gravitationnelle est conservative !
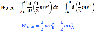
Le travail d’une force appliquée quelconque est par définition :

Utilisant la deuxième loi de Newton, on peut écrire :

En intégrant entre deux états A et B quelconques :

On appelle la relation ci-après l’énergie cinétique de la particule de masse m en mouvement à la vitesse v :

La relation ci-après permet d’énoncer le théorème de l’énergie cinétique en ces termes :

Le travail fourni à une particule libre par une force appliquée arbitraire est égal à la variation de l’énergie cinétique de la particule.
La puissance est la quantité d’énergie transférée par unité de temps.
Partant de la définition du travail :

Sur un intervalle de temps dt, la force produit un travail au taux :

On obtient la puissance délivrée par la force appliquée au système, définit par :

On peut réécrire l’apport du travail pendant un temps donné sous la forme :

La dimension de la puissance :

L’unité est le Joule par seconde (J∙s-1) ou plus communément le Watt (W).