Le moment d’une force
, appliquée en M, par rapport à un point fixe O est donné par la formule :


Le moment d’une force a les dimensions M⋅L2⋅T-2 et son unité s’exprime en N⋅m.
Un moment a tendance à faire tourner le système autour d’un axe colinéaire au moment passant par O.
Si on considère un ensemble de forces
, appliquées respectivement aux points Mi :

Le moment d’une force caractérise l’aptitude de cette force à faire tourner un système mécanique.

Soit une particule, de masse m, de quantité de mouvement
, placée en M dans un référentiel R quelconque et un point O (non nécessairement fixe dans R). On appelle moment cinétique de la particule en O relativement à R le moment en O du vecteur
:

Le moment cinétique a les dimensions : M⋅L2⋅T−1 et son unité s’exprime en kg⋅m2⋅s−1 ou en J∙s.
Nous verrons plus loin la signification de cette grandeur.
Remarque : voir Rappels et compléments de mathématiques sur la « dérivation du produit vectoriel »
Considérons le moment cinétique d’une particule en un point O fixe dans un référentiel galiléen R et sa variation par rapport au temps :


Or
, donc ![]()
Par ailleurs, R est galiléen. La RFD donne :

Si on définit le moment en O de la force f :

La relation précédente devient :

En un point fixe O d’un référentiel galiléen, la dérivée du moment cinétique d’une particule est égale au moment de la force appliquée à celle-ci.
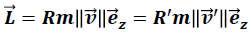
Une masse m décrit un mouvement circulaire de rayon R à une vitesse de norme constante.

et
sont dans le plan du cercle.
sera perpendiculaire à ce plan.
et
étant perpendiculaires :

étant le vecteur unitaire perpendiculaire au plan tel que le trièdre
soit direct.
Moment d’inertie

La vitesse en coordonnées cylindriques a pour expression :

Dans le cas présent : ρ = R = cste et z = cste.
Ainsi, ![]()

On définit le moment d’inertie J = mR2 tel que :

L’énergie cinétique de rotation :

Où ω est la vitesse angulaire.

Remarque 1

Le moment d’inertie est à un mouvement de rotation ce que la masse est à un mouvement de translation.

Il reflète la résistance qu’oppose un corps à sa mise en mouvement.
Il est aisé de se convaincre que pour atteindre une même vitesse de rotation le travail de la force déployée par l’athlète doit être plus important si la longueur du câble augmente.


Remarque 2

Le moment cinétique est à un mouvement de rotation analogue à la quantité de mouvement pour un mouvement de translation.

Remarque 3

Le théorème du moment cinétique est l’équivalent du principe fondamental de la dynamique (deuxième loi de Newton) pour la dynamique de rotation.


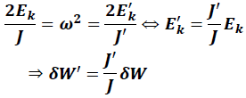
La force extérieure appliquée étant radiale, son moment par rapport à O est nul.

Le moment cinétique par rapport à O est donc constant.

D’où :

Remarque :


Rappels

Les lois de Newton ainsi que la conservation de l’énergie nous ont permis de déterminer la fréquence de balancement du pendule :

Retrouvons ce résultat à partir du théorème du moment cinétique.
Considérons un pendule et déterminons sa pulsation ω naturelle d’oscillation en nous servant du théorème du moment cinétique.

Le moment de la tension du fil est nul ![]()
Le moment cinétique de la masse par rapport à O :

La vitesse en coordonnées cylindriques

Dans le cas présent : ρ = l = cste, z = cste et ϕ = θ.
Ainsi, ![]()
Attention au signe ! Sur la figure
< 0.

Il pourrait en être autrement avec un autre choix pour ![]()
Théorème du moment cinétique
